Manuel du conducteur
PROBLEME DE
REPARTITION D'AIR
CONSIGNES
Ne consulter cet effet client, qu'après un contrôle complet avec l'outil diagnostic.
Particularités : L'action de commande de la répartition d'air ou de la ventilation coupe le mode automatique de la climatisation.
Vérifier que le circuit d'air (filtre à particules, grille d'auvent, conduits d'air...) ne soit pas bouché.
S'assurer que l'hélice du pulseur soit en bon état.
Si nécessaire remettre en état, nettoyer ou changer le filtre à particules.
S'assurer que le boîtier du pulseur soit bien étanche.
Remettre en état si nécessaire.
Mettre le ventilateur habitacle à la vitesse max., commande de température sur chaud max. ou froid max.
et manoeuvrer la commande de répartition d'air.
Vérifier que la sortie d'air corresponde bien à la sélection.
Le ressenti client est-il vérifié ?
La répartition de l'air est correcte.
Expliquer éventuellement une nouvelle fois au client, le fonctionnement du système.
Vérifier à l'aide de l'outil diagnostic, la commande de répartition d'air par le biais du contrôle des paramètres des moteurs de distribution.
PR022 → position volet de distribution dégivrage
PR023 → position volet de distribution pieds
Les volets s'ouvrent-ils à 100% ?
Se reporter à l'interprétation des paramètres "PR022 et PR023 position des volets de distribution", et contrôler les pourcentages d'ouverture des volets.
En cas de problème, se reporter dans la note technique aux méthodes de diagnostic des moteurs de distribution.
APRES REPARATION
Vérifier le bon fonctionnement du système.


Démonter la planche de bord et vérifier visuellement que l'action de manoeuvre de la commande entraîne bien le déplacement des volets de distribution ?
Y a t-il déplacement ?
Vérifier si le déplacement du volet est complet.
Vérifier s'il n'y a pas de blocage mécanique du moteur ou si le volet ne se bloque pas dans le groupe.
Remettre en état si nécessaire.
Fin de diagnostic.
PROBLEME DE
DEBIT D'AIR
CONSIGNES
Ne consulter cet effet client, qu'après un contrôle complet avec l'outil diagnostic.
S'assurer que le client utilise bien sa climatisation.

Le ventilateur habitacle fonctionne-t-il ?
Remettre en état, voir ALP 6.
Vérifier que le circuit d'air (filtre à particules, grille d'auvent, conduits et extractions d'air...) ne soit pas bouché.
S'assurer que l'hélice du pulseur soit en bon état.
Si nécessaire remettre en état, nettoyer ou changer le filtre à particules.
S'assurer que le boîtier du pulseur soit bien étanche.
Remettre en état si nécessaire.
S'assurer, à l'aide de l'outil diagnostic que le volet de recyclage ne reste pas fermé en position recyclage par le biais du contrôle de l'état : ET 021 commande moteur recyclage.
Est-ce que le problème disparaît lorsque l'on change la répartition d'air ?
S'assurer que les grilles d'aération soient toutes ouvertes.
Si le problème persiste voir ALP1.
Effectuer un contrôle de conformité car le problème peut provenir d'une mauvaise indication d'une des sondes (température / humidité...).
S'assurer du fonctionnement de la micro-turbine de la sonde de température d'air intérieure (un dysfonctionnement de celle-ci peut fausser la mesure).
Remplacer le ou les éléments défectueux.

Vérifier à l'aide de l'outil diagnostic, que la vitesse du ventilateur corresponde bien à la consigne donnée par le calculateur (tolérance de + - 15 %) par le biais du contrôle des paramètres :
PR 019 → consigne PWM groupe motoventilateur habitacle (consigne de commande modulée).
PR008 → vitesse groupe motoventilateur (signal de retour vitesse motoventilateur).
Se référer au tableau "interprétation des paramètres PR019 et PR008", pour s'assurer de la cohérence des valeurs relevées.
La vitesse correspond-t-elle à la consigne ?
Fin de diagnostic
Vérifier que le PWM de commande du module (consigne de commande modulée) de puissance groupe motoventilateur habitacle varie bien entre 0 et 5 volts (de 0 à 100%) en mesurant entre la voie A3 du module et la masse.
La tension varie-t-elle correctement ?
Changer le module de puissance.
Vérifier la continuité et l'absence de résistance parasite de la liaison : calculateur connecteur B voie 27 voie A3 du module Remettre en état si nécessaire.
L'incident persiste t-il ?
Changer le tableau de commande.
Fin de diagnostic
MANQUE
D'EFFICACITE DU DESEMBUAGE PARE-BRISE
CONSIGNES
Ne consulter cet effet client, qu'après un contrôle complet avec l'outil diagnostic.
Particularités : Vérifier que les vitres ne soient pas grasses à l'intérieur ce qui diminuerait l'efficacité du désembuage.

Si le véhicule est équipé d'un pare-brise chauffant, s'assurer à l'aide de l'outil diagnostic, que le calculateur soit correctement configuré par le biais des lectures des configurations : LC015 pare-brise électrique.
Reconfigurer le calculateur si nécessaire et s'assurer du bon fonctionnement du pare-brise électrique.
Vérifier que les extractions d'air ne soient pas bouchées.
Remettre en état si nécessaire.
L'incident persiste-t-il ?
Fin de diagnostic.
S'assurer qu'il n'y a pas de fuites d'eau dans l'habitacle, ce qui aurait pour conséquence d'augmenter fortement le taux d'humidité et de diminuer l'efficacité du désembuage.
Remettre en état si nécessaire (voir ALP 11).
L'incident persiste-t-il ?
Fin de diagnostic.
S'assurer du bon fonctionnement du compresseur en lançant la commande : AC021 embrayage compresseur ou en mettant la climatisation en marche.
Remettre en état si nécessaire

S'assurer que le trou d'évacuation de l'eau du condenseur ne soit pas bouché.
Remettre en état si nécéssaire.
Est-ce un problème de répartition d'air ?
Voir ALP 1
Est-ce un problème de débit d'air ?
Voir ALP 2
Est-ce un problème d'efficacité du chauffage ?
Voir ALP 6
S'assurer à l'aide de l'outil diagnostic, que le volet de recyclage soit bien en position air extérieur par le biais du contrôle de l'état : ET021 commande moteur recyclage.
Remettre en état si nécessaire.
L'incident persiste-t-il ?
Effectuer un contrôle de conformité car le problème peut provenir d'une mauvaise indication d'une des sondes (température / humidité...).
S'assurer du fonctionnement de la micro-turbine de la sonde de température d'air intérieure (un dysfonctionnement de celle-ci peut fausser la mesure).
Remplacer le ou les éléments défectueux.
Fin de diagnostic.
MANQUE
D'EFFICACITE DU DEGIVRAGE / DESEMBUAGE DE LA LUNETTE ARRIERE
CONSIGNES
Ne consulter cet effet client, qu'après un contrôle complet avec l'outil diagnostic.
Particularités :
La commande de dégivrage de la lunette arrière s'effectue de deux façons :
NOTA : dans les deux cas l'activation du dégivrage n'est autorisé que moteur en route.

S'assurer qu'il n'y a pas de fuites d'eau dans l'habitacle, ce qui aurait pour conséquence d'augmenter fortement le taux d'humidité et de diminuer l'efficacité du désembuage.
Remettre en état si nécessaire (voir ALP 11).
L'incident persiste-t-il ?
S'assurer, à l'aide de l'outil diagnostic, de la commande du relais de lunette arrière dégivrante par le biais du contrôle des états : ET022 → commande lunette arrière dégivrante.
Remettre en état si nécessaire (voir DF005).
Fin de diagnostic.

Dégrafer les montants plastique de la lunette arrière et s'assurer que les lignes du dégivrage ne soient pas coupées en mesurant leur résistance (0.5 à 1Ω).
Remettre en état si nécessaire.
S'assurer de la présence d'une masse sur la borne côté droit de la lunette arrière dégivrante et d'un + 12 volts (lors de la commande du dégivrage) sur la borne côté gauche.
Si l'alimentation n'arrive pas à la lunette, vérifier la continuité et l'absence de résistance parasite de la liaison :
Relais de lunette arrière voie 5 → connecteur de la borne gauche de la lunettte arrière dégivrante Remettre en état si nécessaire.
Si le problème persiste appliquer la démarche de diagnostic du défaut : DF005 circuit de commande relais lunettte arrière dégivrante.
L'incident persiste-t-il ?
Effectuer un contrôle de conformité car le problème peut provenir d'une mauvaise indication d'une des sondes (température / humidité...).
S'assurer du fonctionnement de la micro-turbine de la sonde de température d'air intérieure (un dysfonctionnement de celle-ci peut fausser la mesure).
Remplacer le ou les éléments défectueux.
Fin de diagnostic.
MANQUE
D'EFFICACITE DE LA VENTILATION
CONSIGNES
Ne consulter cet effet client, qu'après un contrôle complet avec l'outil diagnostic.

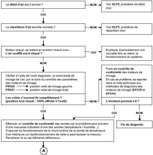
Le débit d'air est-il correct ?
La répartition d'air est-elle correct ?
Fin de diagnostic.
Voir ALP 2
Voir ALP 1
PLUS DE VENTILATION HABITACLE
CONSIGNES
Ne consulter cet effet client, qu'après un contrôle complet avec l'outil diagnostic.
S'assurer du bon état des fusibles.
Vérifier à l'aide de l'outil diagnostic, que la consigne de commande groupe motoventilateur donnée par le calculateur varie bien de 0 à 100% par le biais du contrôle du paramètre :
PR 019 consigne de vitesse groupe motoventilateur habitacle.
La consigne varie-t-elle ?
Changer le tableau de commande
Brancher le bornier à la place du calculateur et vérifier l'isolement, la continuité et l'absence de résistance parasite des liaisons :
calculateur connecteur A voie 27 - voie A3 du module de puissance groupe motoventilateur
calculateur connecteur A voie 13 - voie A2 du module de puissance groupe motoventilateur
Remettre en état si nécessaire.
S'assurer, sous contact de la présence d'un +12 volts sur la voie B5 et d'une masse sur la voie B4 du connecteur 2x5 voies noir du groupe motoventilateur (vissé sous la boîte à gants côté pieds de console).
Remettre en état si nécessaire.


PAS DE
CHAUFFAGE OU MANQUE DE CHAUFFAGE
CONSIGNES
Ne consulter cet effet client, qu'après un contrôle complet avec l'outil diagnostic.

Vérifier à l'aide de l'outil diagnostic, la commande de mixage de l'air, par le biais du contrôle des paramètres des moteurs de mixage.
PR020 → position volet de mixage gauche
PR021→ position volet de mixage droit
Faire un contrôle de conformité des moteurs de mixage.
En cas de problème, se reporter dans la note technique aux méthodes de diagnostic des moteurs de mixage (DF018 et DF019).
Les volets s'ouvrent-ils complètement ? (position tout chaud : 100% affiché à l'outil)
Effectuer un contrôle de conformité des sondes car le problème peut provenir d'une mauvaise indication d'une des sondes (température / humidité...).
S'assurer du fonctionnement de la micro-turbine de la sonde de température d'air intérieure (un dysfonctionnement de celle-ci peut fausser la mesure).
Remplacer le ou les éléments défectueux.

TROP DE CHAUFFAGE
CONSIGNES
Ne consulter cet effet client, qu'après un contrôle complet avec l'outil diagnostic.

Faire un contrôle de conformité des moteurs de mixage.
En cas de problème, se reporter dans la note technique aux méthodes de diagnostic des moteurs de mixage (DF018 et DF019).
Effectuer un contrôle de conformité des sondes car le problème peut provenir d'une mauvaise indication d'une des sondes (température / humidité...).
S'assurer du fonctionnement de la micro-turbine de la sonde de température d'air intérieure (un dysfonctionnement de celle-ci peut fausser la mesure).
Remplacer le ou les éléments défectueux.

Procéder à un contrôle du circuit d'eau et s'assurer que la vanne thermostatique s'ouvre à la bonne temperature.
Changer la vanne si nécessaire.
L'incident persiste t-il ?
S'assurer à l'aide de l'outil diagnostic, que le volet de recyclage soit bien en position air extérieur par le biais ducontrôle des états.
ET021 → commande moteur recyclage.
Remettre en état si nécessaire (voir DF021).
Fin de diagnotic.
PAS DE FROID
CONSIGNES
Ne consulter cet effet client, qu'après un contrôle complet avec l'outil diagnostic.

Démarrer le moteur, mettre la climatisation en route et visualiser, à l'aide de l'outil diagnostic, l'état : ET 051 autorisation conditionnement d'air cet état doit avoir la caractérisation "ETAT 1"
Faire un contrôle de conformité, en regardant principalement les valeurs de température des sondes (température évaporateur, température d'air intérieure...).
L'état a-t-il la bonne caractérisation ?
Démarrer le moteur et vérifier à l'aide de l'outil diagnostic, que le calculateur de d'injection autorise le conditionnement d'air.
ET 003 AC interdit par calculateur injection cet état doit avoir la caractérisation "ETAT 2"
L'état a-t-il la bonne caractérisation ?
Effectuer un diagnostic de l'injection (un défaut injection entraînant une baisse de performance peut interdire la mise en marche de la climatisation).
S'assurer du fonctionnement du groupe motoventilateur de refroidissement moteur.
Remette en état si nécessaire.
Contrôler l'etat de la courroie du compresseur de climatisation.
La remplacer si nécessaire et contrôler sa tension.
La tension est-elle correcte ?
Tendre la courroie (voir méthodes de réparations si motorisation sans tendeur automatique).

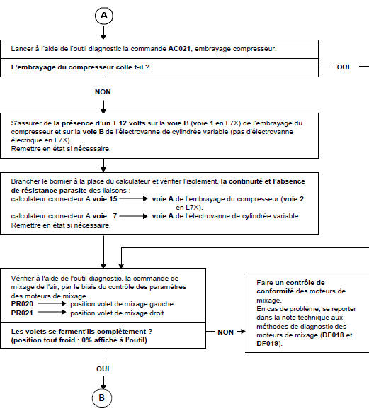
Lancer à l'aide de l'outil diagnostic la commande AC021, embrayage compresseur.
L'embrayage du compresseur colle t-il ?
S'assurer de la présence d'un + 12 volts sur la voie B (voie 1 en L7X) de l'embrayage du compresseur et sur la voie B de l'électrovanne de cylindrée variable (pas d'électrovanne électrique en L7X).
Remettre en état si nécessaire.
Brancher le bornier à la place du calculateur et vérifier l'isolement, la continuité et l'absence de résistance parasite des liaisons :
calculateur connecteur A voie 15 → voie A de l'embrayage du compresseur (voie 2 en L7X).
calculateur connecteur A voie 7 → voie A de l'électrovanne de cylindrée variable.
Remettre en état si nécessaire.
Vérifier à l'aide de l'outil diagnostic, la commande de mixage de l'air, par le biais du contrôle des paramètres des moteurs de mixage.
PR020 → position volet de mixage gauche.
PR021→ position volet de mixage droit
Faire un contrôle de conformité des moteurs de mixage.
En cas de problème, se reporter dans la note technique aux méthodes de diagnostic des moteurs de mixage (DF018 et DF019).
Les volets se ferment'ils complètement ? (position tout froid : 0% affiché à l'outil)

Procéder à un contrôle de la boucle froide en vérifiant l'état des tuyaux et en s'assurant que le système de climatisation n'a pas de fuites de fluide frigorigène.
Procéder a un contrôle de la charge de fluide (650 gr.).
Le système de climatisation est-il conforme ?
Remettre en état ou faire une charge de fluide frigorigène.
Si le contrôle de conformité, la charge de fluide, la courroie et la commande du compresseur sont corrects et que le calculateur ne remonte aucun défaut (notament le DF090 commande compresseur), changer le calculateur de climatisation.
TROP DE FROID
CONSIGNES
Ne consulter cet effet client, qu'après un contrôle complet avec l'outil diagnostic.


MAUVAISES
ODEURS HABITACLE
CONSIGNES
Ne consulter cet effet client, qu'après un contrôle complet avec l'outil diagnostic.

S'assurer que le filtre à pollens ne soit pas obstrué ou détérioré.
Le changer si nécessaire.
Le problème persiste-t-il ?
Fin de diagnostic.
S'assurer que le tuyau d'évacuation de l'évaporateur ne soit pas bouché.
Remettre en état si nécessaire.
Le problème persiste-t-il ?
Fin de diagnostic.
Vérifier l'étanchéité du bloc chauffage par rapport au compartiment moteur.
Remettre en état si nécessaire.
Le problème persiste-t-il ?
Fin de diagnostic.
Mettre le véhicule sur un pont.
Appliquer le nettoyant climatisation à l'aide du prolongateur par le tuyau de sortie de l'évaporateur.
Pulvériser entièrement l'aérosol.
Laisser le produit agir 15 minutes.
PRESENCE
D'EAU DANS L'HABITACLE
CONSIGNES
Ne consulter cet effet client, qu'après un contrôle complet avec l'outil diagnostic.

PAS D'ECLAIRAGE
AU TABLEAU DE COMMANDE
CONSIGNES
Ne consulter cet effet client, qu'après un contrôle complet du réseau multiplexé et du conditionnement d'air avec l'outil diagnostic.
Particularités : Le tableau de commande est constamment allumé mais les boutons ne s'allument que lors de la mise en route des feux de position.


Bruits
compresseur
CONSIGNES
Ne consulter cet effet client, qu'après un contrôle complet avec l'outil diagnostic.
S'assurer du bon état de la courroie du compresseur et contrôler sa tension (pour les motorisations n'ayant pas de tendeur automatique).
Remplacer la courroie si nécessaire.
S'assurer que le compresseur soit correctement fixé.
Remettre en état si nécessaire.
Effectuer un contrôle de la charge de fluide frigorigène ainsi q'un contrôle des fuites car une perte importante de fluide peut engendrer des nuisances sonores du compresseur.
Refaire une charge si nécessaire.
Si le problème persiste, changer le compresseur de climatisation.
Effets clientsDispositifs de correction, d'assistance à la conduite
Suivant véhicule, ils peuvent être
constitués de :
l'ABS (antiblocage des roues) ;
l'ESP (contrôle dynamique de
conduite) avec contrôle du sousvirage
et système antipatinage
ASR ;
l'assistance au freinage d'urgence
avec, suivant véhicule ...
Tableau de bord haut de gamme
GENERALITES
Le tableau de bord haut de gamme regroupe les
fonctions suivantes :
fonction indication par aiguilles (identique à la
version bas de gamme) :
vitesse véhicule
compte-tours
température d'eau
niveau de carburant
fonction sonore :
clignot ...
Arbre de localisation de pannes
La
décondamnation ou la condamnation ne fonctionne sur aucune porte, même le
hayon.
CONSIGNES
Faire auparavant un diagnostic de la fonction.
Vérifier que toutes les portes soient bien fermées (on pourra vérifier que les
éclairages
intérieur ...