Manuel du conducteur
LE
DEMARREUR NE S'ENCLENCHE PAS QUAND LE LEVIER DE SELECTION EST SUR P/N
CONSIGNES
Consulter les "Effets client" seulement après avoir exécuté un diagnostic avec l'outil de diagnostic et fait le contrôle de conformité.

Vérifier la cohérence entre l'indication de l'outil de diagnostic et les positions du levier de sélection.
La cohérence est-elle assurée ?
Contrôler la fixation du contacteur multifonction.
Contrôler le réglage de la commande suivant la méthode décrite dans la note technique.
Couper le contact, déconnecter le connecteur de TA.
Regarder sous action démarreur s'il y a du 12 volts en voie A5 du module vert 12 voies côté câblage véhicule.
Y-a-t-il du 12 volts en voie A5 ?
Contrôler le relais de démarrage.
Assurer la continuité des liaisons entre la voie A5 du connecteur de TA et le relais du contacteur de démarrage.
S'assurer du bon fonctionnement du contacteur de démarrage.
Contrôler le circuit de puissance du relais de démarrage et le démarreur.
CHANGEMENTS
INTEMPESTIFS DE RAPPORTS
CONSIGNES
Consulter les "Effets client" seulement après avoir exécuté un diagnostic avec l'outil de diagnostic et fait le contrôle de conformité.

Y-a-t-il changement de l'affichage de la position du levier de sélection lors de l'apparition du défaut ? (perte de la position D)
Contrôler le parcours du câblage de transmission automatique (parasitage haute tension...).
Modifier si nécessaire.
Contrôler le réglage de la commande externe.
Remplacer le contacteur multifonction si le défaut persiste.
APRES REPARATION
Effectuer un essai routier puis un contrôle avec l'outil de diagnostic.
(Voir documents associés.)
PROBLEMES DE
FONCTIONNEMENT DE LA TRANSMISSION AUTOMATIQUE
CONSIGNES
Consulter les "Effets client" seulement après avoir exécuté un diagnostic avec l'outil de diagnostic et fait le contrôle de conformité.
En cas d'emballement au passage 1/2 à froid (huile TA inférieur à 15'C), remplacer l'électrovanne de modulation de pression (EVM).

Vérifier avec l'outil de diagnostic la cohérence entre l'affichage et les positions du levier de sélection (contact mis et moteur arrêté).
La cohérence est-elle assurée ?
Effectuer le réglage de la commande en suivant les préconisations données dans la note technique.
Contrôler le niveau d'huile et regarder l'état de propreté de l'huile (couleur, odeur...).
L'état de l'huile est-il significatif d'une défaillance interne de la transmission automatique ?
Remplacer la transmission automatique.
Moteur arrêté, contrôler l'information pression de ligne fournie par le capteur de pression.
La valeur est-elle supérieure à 0,2 bar ?
Remplacer le capteur de pression.
Effectuer un contrôle du niveau d'huile.
Mettre en place un manomètre sur la prise de pression du carter de TA (si le contrôle de niveau avait déjà été effectué, s'assurer que la température d'huile soit supérieure à 20 'C avant de poursuivre).
Noter la valeur de la pression de ligne indiquée par le manomètre et par l'outil de diagnostic dans les conditions suivantes :
Les valeurs entre le manomètre et l'outil de diagnostic sont-elles différentes de plus de 0,5 bar ?
Remplacer le capteur de pression.
Refaire le contrôle après remplacement.

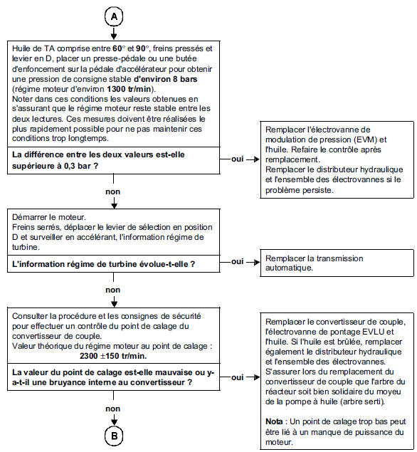
Huile de TA comprise entre 60' et 90', freins pressés et levier en D, placer un presse-pédale ou une butée d'enfoncement sur la pédale d'accélérateur pour obtenir une pression de consigne stable d'environ 8 bars (régime moteur d'environ 1300 tr/min).
Noter dans ces conditions les valeurs obtenues en s'assurant que le régime moteur reste stable entre les deux lectures. Ces mesures doivent être réalisées le plus rapidement possible pour ne pas maintenir ces conditions trop longtemps.
La différence entre les deux valeurs est-elle supérieure à 0,3 bar ?
Remplacer l'électrovanne de modulation de pression (EVM) et l'huile. Refaire le contrôle après remplacement.
Remplacer le distributeur hydraulique et l'ensemble des électrovannes si le problème persiste.
Démarrer le moteur.
Freins serrés, déplacer le levier de sélection en position D et surveiller en accélérant, l'information régime de turbine.
L'information régime de turbine évolue-t-elle ?
Remplacer la transmission automatique.
Consulter la procédure et les consignes de sécurité pour effectuer un contrôle du point de calage du convertisseur de couple.
Valeur théorique du régime moteur au point de calage :
2300 + - 150 tr/min.
La valeur du point de calage est-elle mauvaise ou ya- t-il une bruyance interne au convertisseur ?
Remplacer le convertisseur de couple, l'électrovanne de pontage EVLU et l'huile. Si l'huile est brûlée, remplacer également le distributeur hydraulique et l'ensemble des électrovannes.
S'assurer lors du remplacement du convertisseur de couple que l'arbre du réacteur soit bien solidaire du moyeu de la pompe à huile (arbre serti).
Nota : Un point de calage trop bas peut être lié à un manque de puissance du moteur.

Effectuer un essai routier en surveillant le régime moteur au tableau de bord et les indications données par l'outil de diagnostic (consulter le chapitre aide).
Y-a-t-il variation du régime moteur à chaque changement de rapport ?
Remplacer le distributeur hydraulique et l'ensemble des électrovannes.
Les contrôles effectués n'ont pas permis la mise en évidence d'un défaut et la transmission automatique semble fonctionner correctement.
Si le véhicule présente réellement l'effet client sélectionné, reprendre le diagnostic complet.
DYSFONCTIONNEMENTS DE LA TA SUR DES PASSAGES DE RAPPORTS
CONSIGNES
Consulter les "Effets client" seulement après avoir exécuté un diagnostic avec l'outil de diagnostic et fait le contrôle de conformité.
Il est possible de constater des dysfonctionnements de la TA lors des passages de rapports sans qu'aucun défaut ne soit mémorisé dans le calculateur. Ces dysfonctionnements peuvent être liés à des problèmes de résistances de contact sur les lignes de pilotage des électrovannes de séquences et de progressivité (EVS1 à EVS6) empêchant l'auto-diagnostic de détecter un défaut d'électrovanne ou empêchant le pilotage des électrovannes.
Contrôler le pincement et l'état des clips sur chaque connexion des lignes de pilotage des électrovannes (du calculateur à l'électrovanne).
ABSENCE DE
DIALOGUE ENTRE LE CALCULATEUR ET L'OUTIL DE DIAGNOSTIC.
CONSIGNES
Rien à signaler.
S'assurer que l'outil de diagnostic ne soit pas la cause du défaut en essayant de communiquer avec un calculateur sur un autre véhicule. Si l'outil de diagnostic n'est pas en cause et que le dialogue ne s'établit avec aucun autre calculateur d'un même véhicule, il se peut q'un calculateur défectueux perturbe les lignes diagnostic K et L.
Procéder par déconnexions successives pour localiser ce calculateur.
Vérifier la tension de la batterie et effectuer les interventions nécessaires pour obtenir une tension conforme (8,7 volts < U batterie < 16 volts).
Vérifier si le fusible 7,5A de TA sur la platine fusibles du compartiment moteur est grillé. Si un fusible 7,5A remplacé, grille de nouveau à la mise du contact suivante, rechercher en priorité un court-circuit à la masse de l'alimentation +Après Contact du calculateur ou des électrovannes EVM et EVLU (voies concernées : 26 et 27 du calculateur).
Vérifier le branchement et l'état de la connectique au niveau du connecteur du calculateur.
Vérifier que le calculateur soit correctement alimenté :
Vérifier que la prise diagnostic soit correctement alimentée :
Vérifier et assurer la continuité et l'isolement des lignes de la liaison prise diagnostic / calculateur :
Si le dialogue ne s'établit toujours pas après ces différents contrôles, remplacer le calculateur et effacer la mémoire de défauts en fin d'intervention (consulter le chapitre "aide").
NON
FONCTIONNEMENT DES FEUX DE RECUL
(La marche arrière fonctionne et les ampoules sont bonnes)
CONSIGNES
Consulter les "Effets client" seulement après avoir exécuté un diagnostic avec l'outil de diagnostic et fait le contrôle de conformité.

Couper le contact, déconnecter le connecteur de TA.
Remettre le contact et regarder s'il y a du +Après Contact en voie A2 du module vert 12 voies côté câblage véhicule.
Y-a-t-il du +APC sur la voie A2 ?
Assurer la continuité de la liaison entre la voie A2 du module vert 12 voies et le boîtier d'interconnexions habitacle.
Couper le contact et contrôler la continuité entre les voies A1 et A2 du module vert 12 voies côté boîte, levier en position R.
Si la continuité n'est pas assurée, remplacer le contacteur multifonction.
Si la continuité est bonne, assurer la continuité entre la voie A1 du module côté câblage véhicule et les feux de recul. Contrôler également la masse des feux arrière.
PRESENCE D'HUILE
SOUS VEHICULE
CONSIGNES
Consulter les "Effets client" seulement après avoir exécuté un diagnostic avec l'outil de diagnostic et fait le contrôle de conformité.
Laver la transmission automatique, faire le niveau d'huile en appliquant la méthode décrite dans la note technique, talquer et diagnostiquer l'origine de la fuite.
Traiter l'origine de la fuite et remplacer les pièces défectueuses.
Vérifier le niveau d'huile.
ABSENCE DE
VEROUILAGE DU LEVIER DE SELECTION EN POSITION PARKING
CONSIGNES
Consulter les "Effets client" seulement après avoir exécuté un diagnostic avec l'outil de diagnostic et fait le contrôle de conformité.
En l'absence de défaut déclaré sur l'électro-aimant de shift-lock, vérifier le fonctionnement du contacteur de stop.
Si le défaut DF005 n'est pas affiché sans action sur la pédale de frein, appliquer le diagnostic associé à ce défaut (consulter la partie interprétation des barregraphes).
Si l'effet client persiste, rechercher un problème mécanique au niveau du verrouillage du levier.
LEVIER DE
SELECTION BLOQUE EN POSITION PARKING
CONSIGNES
Consulter les "Effets client" seulement après avoir exécuté un diagnostic avec l'outil de diagnostic et fait le contrôle de conformité.
En l'absence de défaut déclaré sur l'électro-aimant de shift-lock, vérifier le fonctionnement du contacteur de stop.
Si le défaut DF005 est affiché pédale de frein enfoncée, appliquer le diagnostic associé à ce défaut (consulter la partie interprétation des barregraphes).
Si l'effet client persiste, rechercher un problème mécanique au niveau du verrouillage du levier.
Effets client
ChâssisAir conditionné : informations et conseils d'utilisation
Conseils d'utilisations
Dans certains cas, (air conditionné
arrêté, recyclage d'air activé, vitesse
de ventilation nulle ou faible...) vous
pouvez constater l'apparition de
buée sur les vitres et le pare-brise
du véhicule.
En cas de buée, util ...
Kit de gonflage des pneumatiques
Kit de gonflage des pneumatiques
Le kit répare les pneumatiques
endommagés
sur
la bande de roulement A
par des objets de moins
de 4 millimètres. Il ne répare pas
tous les types de crevaisons comme
les coupures de plus de 4 millim&egr ...
Module airbag lateral thorax (arriere)
Description
Le module "airbag latéral thorax arrière" (1) est fixé
derrière la garniture à côté de l'assise de siège arrière.
Il comporte :
un sac gonflable en forme de rideau,
un générateur de gaz pyrotechn ...